Toggle navigation
Αρχική σελίδα
Αναζήτηση τεκμηρίων
Πλοήγηση
Πρόσωπα
Τύποι τεκμηρίων
Θέματα
Ιστορικές περίοδοι
Τόποι
Χάρτης
Φορείς
Συλλογές
Θεματικές εκθέσεις
Προσωπογραφίες
Διαλειτουργικότητα
Σχετικά
Το
SearchCulture
.gr
Εκδόσεις - Δημοσιεύσεις
Ενημερωτικό Δελτίο
Οδηγίες για αναζήτηση & πλοήγηση
Σημασιολογικός εμπλουτισμός μεταδεδομένων
Για φορείς
Ένταξη συλλογών
Προδιαγραφές ένταξης
Εκδήλωση ενδιαφέροντος
Διάθεση περιεχομένου στη Europeana
Επικοινωνία
ΕΛ
•
EN
Αρχική σελίδα
Αναζήτηση τεκμηρίων
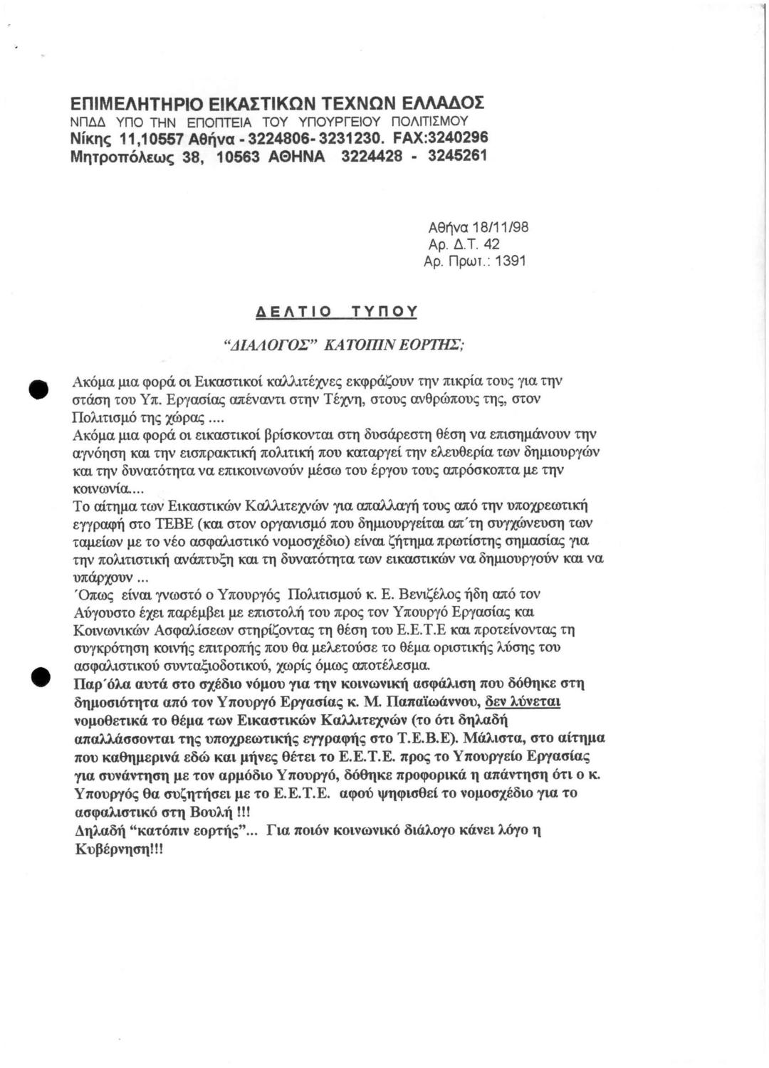
Διάλογος Κατόπιν Εορτής
Ψηφιακά αρχεία τεκμηρίου
Ταυτότητα τεκμηρίου
Τίτλος
Διάλογος Κατόπιν Εορτής
URI
https://www.searchculture.gr/aggregator/edm/EETE/000046-%3A393164
Δημιουργός
[-]
Φορέας
Επιμελητήριο Εικαστικών Τεχνών Ελλάδος
Συλλογή
Αρχεία Επιμελητηρίου Εικαστικών Τεχνών Ελλάδος
Άδεια χρήσης ψηφιακών αρχείων
CC BY-NC-ND 4.0 GR
Επιστροφή στο τεκμήριο
2 ψηφιακά αρχεία
Τύπος αρχείου
JPEG
Μέγεθος αρχείου
169.1 KB
Ανάλυση
1500x1080px
Άδεια χρήσης
CC BY-NC-ND 4.0 GR
Δείτε το αρχείο
Κατεβάστε το αρχείο
Τύπος αρχείου
JPEG
Μέγεθος αρχείου
86.3 KB
Ανάλυση
1504x1080px
Άδεια χρήσης
CC BY-NC-ND 4.0 GR
Δείτε το αρχείο
Κατεβάστε το αρχείο
×
×